全光纤结构的啁啾脉冲放大(CPA)系统得益于光纤器件特有的高集成度、高稳定性、易于标准化生产等特性,已被采纳为飞秒激光器的常用技术路线,广泛应用于基础科学研究、医疗卫生和工业制造等领域。
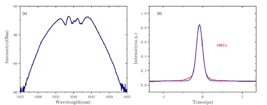
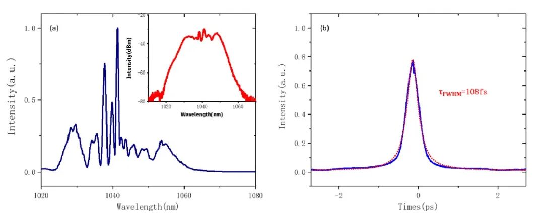
全光纤结构的啁啾脉冲放大(CPA)系统作为飞秒光纤激光系统的前端信号光源,其提供的信号强度、时域频域特性决定了后续提升激光功率的光纤放大器的级数和复杂程度;一台高平均功率锁模激光振荡器作为CPA的种子源,其提供的高强度种子光信号不仅可以有效提升激光放大系统的输出信噪比,还有利于抑制放大自激辐射、提高激光增益介质的提取效率。然而,由于光纤波导的非线性特征,在光纤飞秒激光系统中获得稳定的高平均功率单脉冲序列输出,相比固态飞秒激光系统更具有挑战性。 目前,基于光纤的激光系统在不同的色散区域可以产生各种不同类型的超短脉冲,例如:在负色散区产生传统孤子,近零色散区产生自相似演化孤子,在全正色散区产生耗散孤子以及色散管理孤子。这是超短脉冲光纤激光系统中色散、非线性、增益和损耗等因素之间平衡的结果。当系统中的非线性相位累计超过一定水平时,非线性和群速度色散的共同作用将导致脉冲发生分裂,进而限制了输出功率的进一步提升。与其它类型锁模激光器相比,运转在全正色散区的耗散孤子锁模光纤激光器,由于孤子面积定理以及更强的非线性积累能力,理论上可以支撑更高的平均功率。 奥创光子致力于研发高输出功率超短脉冲光纤激光器,通过使用大模场面积双包层光纤作为锁模激光器的增益介质,并采用输出功率高达27W的976nm波长泵浦源,另外通过基于啁啾脉冲光谱滤波的双折射片实现全正色散耗散孤子脉冲整形,最终研发出尺寸规格为200×127×75 mm的结构紧凑型飞秒光纤激光种子源。该种子源的光路结构示意图如图1,腔内器件简洁,腔型布局紧凑,工程化热管理措施得当;在锁模自启动后,获得重复频率33MHz的锁模激光输出,激光平均输出功率达5.8W,其脉冲宽度为186fs,光谱范围覆盖1025~1055nm。 图 1. 高功率锁模光纤激光器光路示意图 图 2. 5.8 W激光光谱以及自相关曲线 为了追求更高功率更窄脉冲宽度的激光输出,我们在上述已有的基础上不断改进和尝试,经过优化啁啾脉冲光谱滤波参数,激光输出功率和脉冲宽度两项指标均有提升。优化后的激光器能在锁模状态输出高达9 W的平均功率,脉冲宽度窄化至108 fs(图3)。由于使用的大模场光纤为保偏双包层单模光纤,输出激光束的M²因子为1.3,具备良好的光束质量。经多次测试该锁模光纤激光器在9 W的工作状态下1小时的功率波动,其RMS值均 < 0.4%,功率稳定性良好(图4)。 该全正色散耗散孤子光纤激光器具有结构紧凑、高稳定性、高信噪比等优势,并且启动简单,可以作为稳定的高功率种子源用于飞秒啁啾脉冲放大系统中,也能够独立地作为高功率激发光源用于高重复频率、低能量、窄脉宽应用的领域如生物医学成像、激光测量等。 图 3 优化后激光器输出光谱及自相关曲线(平均功率9W) 图 4 激光输出功率稳定性测试
(HR:高反镜;ISO:隔离器;LD:半导体泵浦源;PLP:泵浦保护器;DM:双色镜; PSC:泵浦合束器;SF:光谱滤波器; λ/2: 1/2波片; λ/4: 1/4波片)
转载请注明出处。








相关文章
热门资讯
精彩导读





















关注我们




